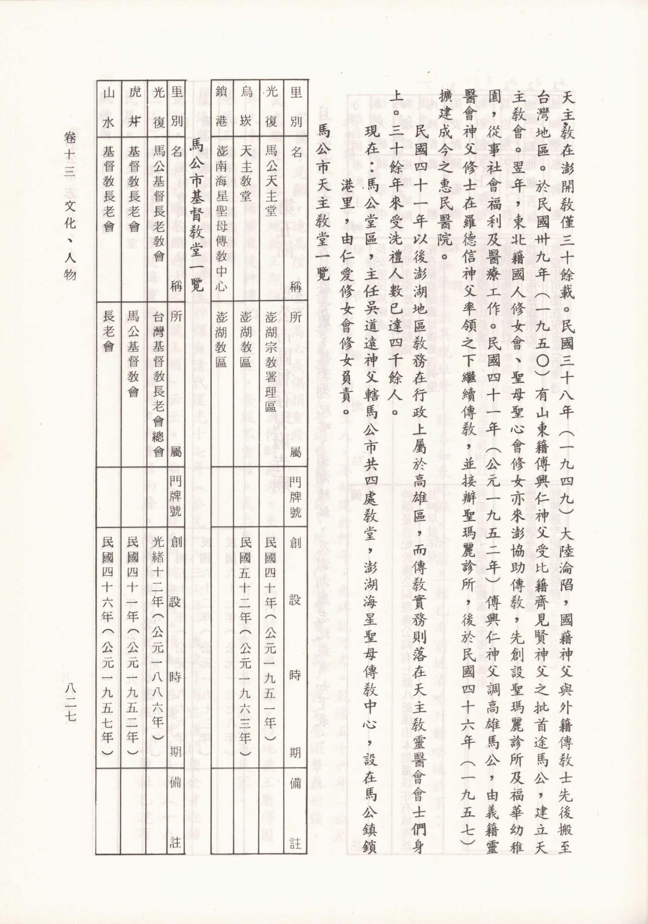
Penghu.Book|澎湖文獻資料庫
×
關於我們|About us
搜尋系統|Search
分類書籍|
文學
書籍
|
方志
書籍
|
歷史
書籍
|
學術
書籍
|
專書
書籍
|
文資
書籍
|
校慶專輯
書籍
|
寺廟
書籍
|
地方介紹
書籍
|
地理概論
書籍
|
地質
書籍
|
漁業
書籍
|
縣政
書籍
|
馬公市
|
西嶼鄉
|
望安鄉
|
七美鄉
|
白沙鄉
|
湖西鄉
|
聯絡我們
友站|澎湖知識服務平台
馬公市志|書內搜尋
×
搜尋
`
✕
連頁
上一頁
下一頁
圖檔下載|
點我下載
所在頁面|
操作提醒|
點按圖片,跳至下一頁
引用來源|
關閉|Close
馬公市志
連頁閱讀頁面
您目前在書籍「
馬公市志
」之,連頁閱讀頁面。在此頁面中,您可以上下連續閱讀書籍頁面。
您目前瀏覽頁面為第811頁到第820頁(全書共976頁)
掃描頁面|第811頁
掃描頁面|第812頁
掃描頁面|第813頁
掃描頁面|第814頁
掃描頁面|第815頁
掃描頁面|第816頁
掃描頁面|第817頁
掃描頁面|第818頁
掃描頁面|第819頁
掃描頁面|第820頁
上一頁
第1分頁
第2分頁
第3分頁
第4分頁
第5分頁
第6分頁
第7分頁
第8分頁
第9分頁
第10分頁
第11分頁
第12分頁
第13分頁
第14分頁
第15分頁
第16分頁
第17分頁
第18分頁
第19分頁
第20分頁
第21分頁
第22分頁
第23分頁
第24分頁
第25分頁
第26分頁
第27分頁
第28分頁
第29分頁
第30分頁
第31分頁
第32分頁
第33分頁
第34分頁
第35分頁
第36分頁
第37分頁
第38分頁
第39分頁
第40分頁
第41分頁
第42分頁
第43分頁
第44分頁
第45分頁
第46分頁
第47分頁
第48分頁
第49分頁
第50分頁
第51分頁
第52分頁
第53分頁
第54分頁
第55分頁
第56分頁
第57分頁
第58分頁
第59分頁
第60分頁
第61分頁
第62分頁
第63分頁
第64分頁
第65分頁
第66分頁
第67分頁
第68分頁
第69分頁
第70分頁
第71分頁
第72分頁
第73分頁
第74分頁
第75分頁
第76分頁
第77分頁
第78分頁
第79分頁
第80分頁
第81分頁
第82分頁
第83分頁
第84分頁
第85分頁
第86分頁
第87分頁
第88分頁
第89分頁
第90分頁
第91分頁
第92分頁
第93分頁
第94分頁
第95分頁
第96分頁
第97分頁
第98分頁
下一頁
澎湖文獻資料庫提供全文檢索功能,但不持有任何學術文章版權。系統內所有文章版權,皆隸屬於相關作者與單位。
系統文字採人工智慧OCR辨識,不保證100%搜尋率。
本系統純個人運作,無關澎湖公部門。
系統創辦人─吳鷗翔